小型水晶諧振器電路與參數
來源:http://www.huihuangyouhua.com.cn 作者:金洛鑫電子 2018年12月24
利用石英水晶為原料制成的水晶諧振器,是許多生產工廠并不陌生的一種電子配件,大部分尺寸都比較小,以毫米(mm)為單位,雖然是很小的一顆,但制造工序卻多達三十多道,還不包括后期的十幾道檢測,和部分加工技術。
石英晶體諧振器在電子設備中的重要性源于其極高的Q值,相對較小的尺寸和出色的溫度穩定性。
石英晶體諧振器使用石英的壓電特性。直接壓電效應是指由機械應力的應用引起的某些材料的電極化。相反的效果是指產生的變形
在相同材料中通過施加電場。在石英晶體諧振器中,相對于晶軸以適當取向切割的薄石英片放置在兩個電極之間。施加到這些電極的交流電壓使石英同情地振動。隨之而來的電極化的變化構成了通過諧振器的電位移電流。
當施加電壓的頻率接近石英切片的機械共振頻率之一時,振動的幅度變得非常大。伴隨的位移電流也增加,因此裝置的有效阻抗在幅度上減小。隨著頻率在諧振附近變化,阻抗的快速變化是石英晶體諧振器作為進口晶體振蕩器中的頻率控制元件應用的關鍵因素。

圖1-晶體的等效電路
在電學上,石英晶體可以用圖1的等效電路表示,其中串聯組合R1,L1和C1表示壓電效應對阻抗的貢獻,C0表示電極之間的并聯電容以及任何雜散支架電容。電感L1是石英質量的函數,而電容C1與其剛度相關。電阻R1由石英和安裝,布置中的損耗引起。
可以測量等效電路的參數,精度為1%。等效電路的電抗頻率曲線如圖所示

圖2-無功與頻率
有很多相關的晶振性能公式;第一個是fs。這是晶體串聯諧振的頻率,由下式給出:

其中fs以Hz為單位,L1為亨利,C1為法拉。典型的晶體參數值
校準公差
校準公差是頻率允許的最大偏差在特定溫度下的晶體,參考溫度(通常為25°C)。

圖4-低頻控制
頻率穩定性
晶體因幾種原因而不穩定。溫度變化和質量的物理變化導致我們的長期漂移呼叫老化可能是最關心我們的。溫度變化的影響通過適當的最小化選擇水晶切割和(對于嚴格的公差要求)包括晶體電路中的溫度相關電抗,或在小烤箱中保持恒溫。AT切割晶體是今天使用最廣泛的,因為他們的頻率家庭。
除了最苛刻的應用之外,溫度曲線很容易以低成本提供良好的性能。
未補償的AT切割晶體可以指定公差從-10°C到60°C降至±5ppm,需要更大的公差對于更寬的溫度范圍,如圖3所示,顯示a典型的AT切割頻率-溫度曲線族。這些曲線可以用三次方程表示并且是強烈依賴的關于石英晶振坯料的切割角度。零溫度點系數稱為上下轉折點。一轉通過選擇切割角度可以將點放置在需要的位置;該然后固定另一個,因為兩者都是關于一個點的對稱在20°-30°C范圍內。轉折點之間的斜率變為它們一起移動時變小設計用于水晶的水晶切割烤箱,使上轉折點與烤箱重合。

圖5-頻率/負載電容
工作溫度。
圖4顯示了幾個低頻切割的頻率溫度曲線。J切割使用低于10kHz,而XY切割可以使用可在3kHz至85kHz范圍內使用。可以在10kHz中使用NT切割范圍。DT切割適用于100kHz至約800kHz,CT切割適用于300kHz至900kHz。

圖6-典型的晶體拉伸靈敏度
負載電容
晶體可由制造商在fr處校準,其中它們看起來是電阻性的(或非常接近fr的fs)或共振對于容性負載,當然它們必須具有電感性。后一種情況稱為負載共振,表示為符號fL的一般術語;更具體地說,符號f30例如,它將代表石英水晶振子所處的頻率與30pF電容負載共振。

校準時晶體電抗曲線上的點需要由電路配置決定。作為一般規則,石英晶體振蕩器中的非反相維持放大器需要fr處的校準和反相放大器需要校準“負載電容”的值,CL。后一種安排依賴于感應晶體,以及它所處的負載電容共振,提供進一步180°的相移。該規則最常見的例外是當一個小電容器,例如,變容二極管與晶體串聯放置非反相放大器電路提供一定程度的頻率調整。在這種情況下,必須校準晶體與該電容的平均值共振。

可調性
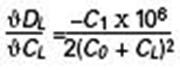
石英晶體的可拉性是其頻率變化的量度給定的負載電容變化。這通常表示為其串聯諧振頻率(fr)與其負載之間的差異共振頻率(fL)。該偏移量可以按部分計算百萬使用分數負載共振頻率偏移(DL),對于給定的CL值,實際頻率從fr變為fL。

其中C1,C0和CL都以相同的單位表示。圖5顯示了頻率變化影響的典型曲線關于負載電容的變化。或者,通常將晶體的可拉性表示為飾邊每pF負載電容變化的靈敏度ppm。這是在給出的ppm/pF:

其中C1,C0和CL是pF,并在圖6中以圖形方式顯示對于(C0+CL)的各種值。
本文重點講述了關于石英晶體諧振器重要的基礎知識,并配以相關的技術圖做為輔助,金洛鑫電子十幾年,對待晶體懷有始終如一的專注和認真,用真誠和誠信面對每一位用戶中,相信金洛鑫電子,不會讓你失望!
石英晶體諧振器在電子設備中的重要性源于其極高的Q值,相對較小的尺寸和出色的溫度穩定性。
石英晶體諧振器使用石英的壓電特性。直接壓電效應是指由機械應力的應用引起的某些材料的電極化。相反的效果是指產生的變形
在相同材料中通過施加電場。在石英晶體諧振器中,相對于晶軸以適當取向切割的薄石英片放置在兩個電極之間。施加到這些電極的交流電壓使石英同情地振動。隨之而來的電極化的變化構成了通過諧振器的電位移電流。
當施加電壓的頻率接近石英切片的機械共振頻率之一時,振動的幅度變得非常大。伴隨的位移電流也增加,因此裝置的有效阻抗在幅度上減小。隨著頻率在諧振附近變化,阻抗的快速變化是石英晶體諧振器作為進口晶體振蕩器中的頻率控制元件應用的關鍵因素。

圖1-晶體的等效電路
在電學上,石英晶體可以用圖1的等效電路表示,其中串聯組合R1,L1和C1表示壓電效應對阻抗的貢獻,C0表示電極之間的并聯電容以及任何雜散支架電容。電感L1是石英質量的函數,而電容C1與其剛度相關。電阻R1由石英和安裝,布置中的損耗引起。
可以測量等效電路的參數,精度為1%。等效電路的電抗頻率曲線如圖所示

圖2-無功與頻率
有很多相關的晶振性能公式;第一個是fs。這是晶體串聯諧振的頻率,由下式給出:

其中fs以Hz為單位,L1為亨利,C1為法拉。典型的晶體參數值
校準公差
校準公差是頻率允許的最大偏差在特定溫度下的晶體,參考溫度(通常為25°C)。

圖4-低頻控制
頻率穩定性
晶體因幾種原因而不穩定。溫度變化和質量的物理變化導致我們的長期漂移呼叫老化可能是最關心我們的。溫度變化的影響通過適當的最小化選擇水晶切割和(對于嚴格的公差要求)包括晶體電路中的溫度相關電抗,或在小烤箱中保持恒溫。AT切割晶體是今天使用最廣泛的,因為他們的頻率家庭。
除了最苛刻的應用之外,溫度曲線很容易以低成本提供良好的性能。
未補償的AT切割晶體可以指定公差從-10°C到60°C降至±5ppm,需要更大的公差對于更寬的溫度范圍,如圖3所示,顯示a典型的AT切割頻率-溫度曲線族。這些曲線可以用三次方程表示并且是強烈依賴的關于石英晶振坯料的切割角度。零溫度點系數稱為上下轉折點。一轉通過選擇切割角度可以將點放置在需要的位置;該然后固定另一個,因為兩者都是關于一個點的對稱在20°-30°C范圍內。轉折點之間的斜率變為它們一起移動時變小設計用于水晶的水晶切割烤箱,使上轉折點與烤箱重合。

圖5-頻率/負載電容
工作溫度。
圖4顯示了幾個低頻切割的頻率溫度曲線。J切割使用低于10kHz,而XY切割可以使用可在3kHz至85kHz范圍內使用。可以在10kHz中使用NT切割范圍。DT切割適用于100kHz至約800kHz,CT切割適用于300kHz至900kHz。

圖6-典型的晶體拉伸靈敏度
負載電容
晶體可由制造商在fr處校準,其中它們看起來是電阻性的(或非常接近fr的fs)或共振對于容性負載,當然它們必須具有電感性。后一種情況稱為負載共振,表示為符號fL的一般術語;更具體地說,符號f30例如,它將代表石英水晶振子所處的頻率與30pF電容負載共振。

校準時晶體電抗曲線上的點需要由電路配置決定。作為一般規則,石英晶體振蕩器中的非反相維持放大器需要fr處的校準和反相放大器需要校準“負載電容”的值,CL。后一種安排依賴于感應晶體,以及它所處的負載電容共振,提供進一步180°的相移。該規則最常見的例外是當一個小電容器,例如,變容二極管與晶體串聯放置非反相放大器電路提供一定程度的頻率調整。在這種情況下,必須校準晶體與該電容的平均值共振。

可調性
石英晶體的可拉性是其頻率變化的量度給定的負載電容變化。這通常表示為其串聯諧振頻率(fr)與其負載之間的差異共振頻率(fL)。該偏移量可以按部分計算百萬使用分數負載共振頻率偏移(DL),對于給定的CL值,實際頻率從fr變為fL。

其中C1,C0和CL都以相同的單位表示。圖5顯示了頻率變化影響的典型曲線關于負載電容的變化。或者,通常將晶體的可拉性表示為飾邊每pF負載電容變化的靈敏度ppm。這是在給出的ppm/pF:

其中C1,C0和CL是pF,并在圖6中以圖形方式顯示對于(C0+CL)的各種值。
本文重點講述了關于石英晶體諧振器重要的基礎知識,并配以相關的技術圖做為輔助,金洛鑫電子十幾年,對待晶體懷有始終如一的專注和認真,用真誠和誠信面對每一位用戶中,相信金洛鑫電子,不會讓你失望!
正在載入評論數據...
發表評論:
| 姓名: | |
| 郵箱: | |
| 正文: | |
歡迎參與討論,請在這里發表您的看法、交流您的觀點。
相關資訊
- [2025-09-03]Greenray格林雷晶振T1254系列具...
- [2025-09-01]壓電執行器被用于衛星微推進器以...
- [2025-09-01]探索主動阻尼的加速度感測技術用...
- [2025-08-26]使用振蕩器和時鐘發生器整合頻率...
- [2025-08-26]Vectron維管晶振的國防振蕩器在...
- [2024-03-15]Cardinal晶振常見問題CX5Z-A2B2...
- [2024-03-04]Jauch的40MHz的石英毛坯有多厚?...
- [2023-09-21]Skyworks領先同行的綠色生產標準...


業務經理
客服經理